硅的禁带宽度是多少?
时间:2025-06-30 发布人:admin 点击数:0
禁带宽度(Band Gap)
禁带宽度是半导体材料中价带顶到导带底之间的能量差(Eg),决定了电子从价带跃迁到导带所需的最小能量。它是半导体导电特性的核心参数。

数值与温度依赖性:
室温值(300 K):硅的禁带宽度为 1.12 eV。
温度影响:

随着温度升高,晶格振动增强,原子间距变化导致能带结构略微收缩,禁带宽度减小。其近似公式为:
例如,在400 K 时,Eg≈1.10eV;在 0K 时接近 1.17 eV。
物理意义:
2. 本征载流子浓度(Intrinsic Carrier Concentration, ni)
本征浓度是指未掺杂的纯净半导体中,热激发产生的自由电子和空穴的平衡浓度。在硅中,电子和空穴浓度相等,即 n=p=ni。
数值与温度依赖性:
室温值(300 K):

温度影响:
ni 随温度呈指数增长,计算公式为:

参数说明: Nc
和 Nv:导带和价带的有效态密度,反映能带中可供电子占据的量子态数量。 硅的典型值:

k:玻尔兹曼常数(8.617×10^−5eV/K)。
T:绝对温度(K)。
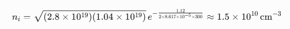
示例计算(300 K):

3. 关键影响因素与物理机制
禁带宽度的决定因素:
由硅的晶体结构和化学键强度决定。金刚石结构的强共价键导致其禁带宽度大于锗(0.66 eV),但小于砷化镓(1.42 eV)。本征浓度的敏感性:
温度每升高8–10 K,ni 大约翻倍(在300–400 K 范围内)。 高温下(如 500 K),ni 可达 10^14 cm^−3,导致器件漏电流显著增加。
4. 实际应用与器件设计
禁带宽度的应用:
光电设备:硅的 1.12 eV 禁带对应吸收波长约 1100 nm 的光,决定了其在近红外探测器中的适用性。
温度稳定性:较宽的禁带使硅器件在室温下热激发载流子较少,适合低功耗应用。
本征浓度的影响:
PN结特性:反向饱和电流

高温下 Is 急剧增大,可能导致二极管或晶体管失效。
MOSFET泄漏电流:本征载流子浓度升高会加剧亚阈值漏电,影响集成电路的功耗。
禁带宽度测量:可通过光吸收谱或电致发光谱确定,不同方法可能导致 ±0.01 eV 的偏差。
硅的禁带宽度和本征浓度是器件设计的基石:
禁带宽度
决定了材料的光电响应和热稳定性。 本征浓度
直接影响器件的温度特性与可靠性。
深入理解这些参数的温度依赖性和物理本质,对优化半导体器件(如高温传感器、低功耗芯片)至关重要。

